珍贵史料

郑哲敏与二妹写信谈博士论文

日期:2016-03-17

 

图为郑哲敏在美学习期间给二妹写信谈及博士论文选题

为真实全面展现新中国科技发展历史,收集保存反映老科学家学术成长经历的宝贵资料,特邀请您向采集工程捐献传记、证书、信件、手稿、著作等学术成长过程相关的各类资料。2021年采集工程项目申报现已启动,火热报名中!

详细

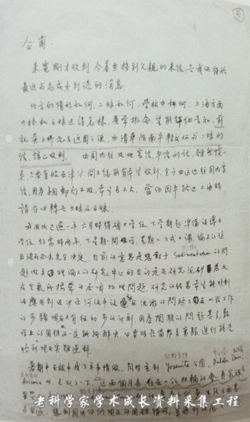
郑哲敏与二妹写信谈博士论文

日期:2016-03-17

 

图为郑哲敏在美学习期间给二妹写信谈及博士论文选题